Brief Summary
Eccentric muscle action is important in the majority of sports. Disciplines such as running, sprinting and jumping utilise eccentric muscle contractions that enhance performance by utilsing the energy elicited during stretch-shortening cycles (Vogt and Hoppeler, 2014). It is widely reported that training eccentric exercises can elicit functional adaptations resulting in an increase of fascicle length, cross-sectional area, number of sarcomeres and muscle mass (Douglas, Pearson, Ross and McGuigan, 2017).
Importantly, it has been well documented that eccentric training is more likely to induce muscle damage, causing symptoms such as delayed onset muscle soreness and increased muscle stiffness. Increased volumes of muscle proteins such as myoglobin and creatine kinase in the blood (Osaka and Clarkson, 1996; Fridén and Lieber, 2001) are associated with these eccentric exercise adaptations and soreness. This muscle soreness can interfere with motor control and an athletes readiness to train and play.
Early work by Chen et al (2007, 2009), found that markers of muscle damage (e.g. plasma CK) and muscle strength deficits induced following eccentric exercise, were reduced when eccentric training was preceded by as few as 2 isometric contractions.
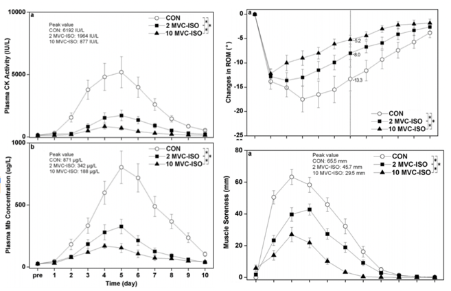
This study hypothesized that maximal isometric contractions performed prior to maximal eccentric contractions would attenuate the magnitude of the eccentric exercise induced muscle damage, and that 10 isometric reps would provide a greater protective effect than 2 reps. The study used 2 or 10 maximal voluntary isometric contractions (MVC-ISO) of the elbow flexors 2 days prior to 30 maximal eccentric contractions of the same muscle. The subjects were assigned into 1 of 3 groups (13 subjects per group) which consisted of 1 control group and 2 experimental groups, performing either 2 or 10 isometric reps. Both isometric and eccentric exercises were conducted on a Isokinetic Dynamometer in a seated position with the shoulder flexed to 45°, 0° abduction. Isometric contractions were performed in a long muscle length position with the elbow fixed to 20° and each rep lasted 3s with 45s rest between. Eccentric contractions were performed 2 days later and work consisted of 5 sets of 6 reps, each contraction lasted 1s and 10s rest was given between reps, 2min rest between sets. The dependent variables used to assess the effect of isometrics on eccentric exercise were peak torque, peak torque angle, range of motion, upper arm circumference plasma CK activity and Mb volume, muscle soreness and echo intensity of ultrasound images (Figure 1)
Figure 1.
Results above demonstrate that 2 or 10 maximal isometric contractions performed 2 days prior to maximal eccentric contractions attenuated the magnitude of changes in muscle damage markers and enhanced recovery following maximal eccentric exercise. Peak CK activity and Mb concentration were attenuated in the 2 MVC-ISO (68% CK and 61% Mb) and 10 MVC-ISO (86% CK and 78% Mb) compared with the control group. Muscle soreness during passive extension of the elbow flexors was significantly less for both the 2 (30% reduction) and 10 (55% reduction) MVC-ISO groups compared with the control group. The magnitude of decreased range of motion was not significant immediately after eccentric exercise, however the recovery of range of motion, measured 5 days after exercise, was significantly enhanced - with the 2 and 10 repetition isometric intervention groups 40% and 61% better when compared to the control group.
This work has implications for athlete monitoring and exercise prescription. An athlete monitoring program that includes maximal isometric testing on a regular basis may do more than reduce injury risk (eg Wollin et al 2018, 2020) by informing with respect to musculoskeletal health and acute or chronic levels of neuromuscular fatigue. The testing process itself may also serve to shield tissue against exercise induced muscle damage and soreness and in doing so improve athlete readiness to train and play at the highest levels more consistently.
To access the full article, click here.
